Have you ever struggled with dividing numbers in scientific notation? It can be a tricky concept to grasp, but once you understand the basics, you’ll be dividing in scientific notation like a pro!
Scientific notation is a way of expressing very large or very small numbers in a more concise format. When dividing numbers in scientific notation, you’ll need to remember a few key rules to ensure accuracy.

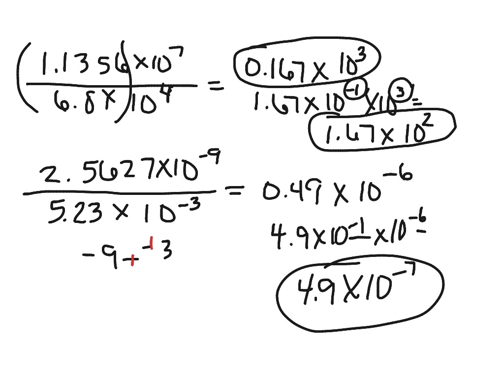
dividing in scientific notation
Dividing in Scientific Notation
First, when dividing numbers in scientific notation, you’ll want to divide the coefficients (the numbers before the “x10^” part) and subtract the exponents. For example, when dividing 6.0 x 10^4 by 3.0 x 10^2, you would divide 6.0 by 3.0 to get 2.0 and subtract the exponents to get 10^2.
Remember to always keep track of the signs when dividing in scientific notation. If you have a negative exponent after dividing, you can rewrite the number with a positive exponent by moving the decimal point to the left and increasing the exponent accordingly.
Practice makes perfect when it comes to dividing in scientific notation. Try out different problems and check your work using a calculator to ensure you’re on the right track. Don’t be afraid to ask for help if you’re feeling stuck!
By mastering the art of dividing in scientific notation, you’ll be well-equipped to tackle more complex math problems in the future. Keep practicing, stay patient, and remember that every mistake is an opportunity to learn and improve. Happy dividing!

Dividing Values In Scientific Notation YouTube

MULTIPLICATION AND DIVISION OF SCIENTIFIC NOTATION PHYSICS 1 YouTube

How To Divide With Scientific Notation Using Rules Of Exponents YouTube

Multiplying And Dividing With Scientific Notation Math Scientific Notation Middle School Math 8th Grade Math 8 EE 4 ShowMe

HOW TO EASILY DIVIDE SCIENTIFIC NOTATION KristaKingMath YouTube