Do you find adding negative fractions confusing? Don’t worry, you’re not alone! Understanding how to add negative fractions can be tricky, but with a little practice, you’ll master it in no time.
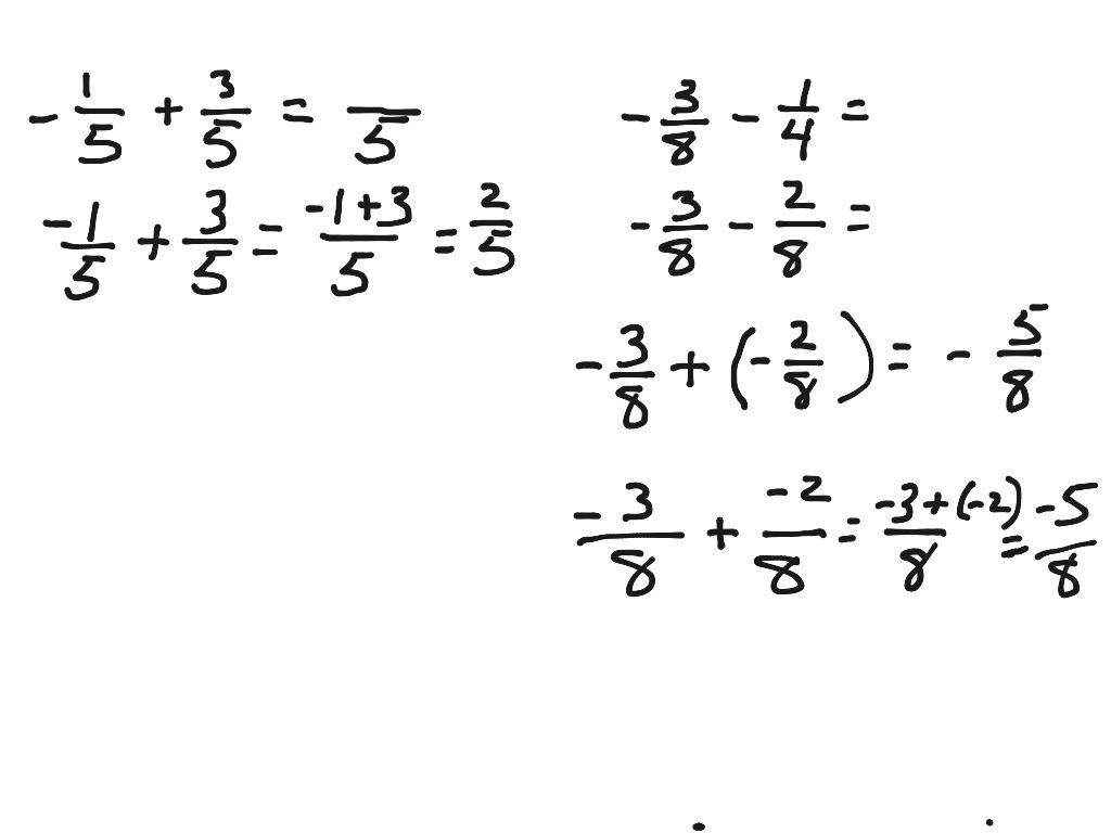
When adding negative fractions, remember that a negative fraction is just a fraction with a negative sign in front of it. To add negative fractions, first, find a common denominator for the fractions you are adding.

how to add negative fractions
How to Add Negative Fractions
Once you have a common denominator, add the numerators of the fractions together. If the fractions have different signs, subtract the smaller absolute value from the larger one and keep the sign of the larger number.
For example, if you are adding -1/4 and -1/8, first find a common denominator, which in this case is 8. The sum of -1/4 and -1/8 is -3/8.
Remember to simplify your answer by reducing the fraction to its simplest form. In the example above, -3/8 is already in its simplest form, but for more complex fractions, you may need to reduce further.
Practice makes perfect when it comes to adding negative fractions. The more you practice, the more comfortable you will become with this concept. Don’t be afraid to make mistakes – they are all part of the learning process!
Adding negative fractions may seem daunting at first, but with a bit of patience and practice, you’ll soon be adding them like a pro. So, the next time you come across negative fractions, remember these simple steps and you’ll be on your way to success!

Adding Positive And Negative Fractions YouTube

Adding And Subtracting Positive And Negative Fractions 1 YouTube

Adding And Subtracting Positive And Negative Fractions YouTube

How To Add A Fraction To A Negative Fraction With Unlike Denominators YouTube

How To Add Or Subtract Negative Fractions NEGATIVE FRACTIONS Learn How With Math Teacher Gon YouTube